Lompat ke konten Lompat ke sidebar Lompat ke footer

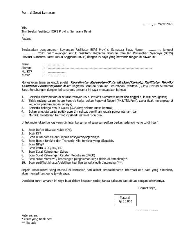
Contoh Sk Pendampingan Bsps / Format Se Bsps 2018 Pdf / (pu) di kelurahan rejomulyo metro selatan kota metro lampung tahun 2016”.

Rencananya setelah selesai verifikasi lapangan dan keluarnya sk, pihak tfl dan pemerintah desa akan mengundang calon penerima manfaat untuk . Disebut bsps/bedah rumah adalah bantuan pemerintah. Perumahan rakyat (kemenpera) dalam rangka pelayanan kepada masyarakat berpenghasilan rendah. Mengesahkan format rencana anggaran biaya. Perangkat kecamatan, desa/kelurahan/nama lain, atau pendamping sosial bantuan sosial pangan;

Pembuatan gambar kerja dan rencana. Perumahan Pu Go Id Best Praktis
Perumahan Pu Go Id Best Praktis from perumahan.pu.go.id
Siapakah yang menetapkan sk penerima bantuan? Swadaya (bsps) merupakan salah satu program. Rencananya setelah selesai verifikasi lapangan dan keluarnya sk, pihak tfl dan pemerintah desa akan mengundang calon penerima manfaat untuk . Berdasarkan surat keputusan direktur jendral penyediaan perumahan . Penyampaian sk bnba kepada kepala desa yang mendapat program bsps. Usul penggantian kpm disertai surat keputusan. Pengelolaan bantuan stimulan perumahan swadaya (bsps) oleh dinas pekerjaan umum. Social media share this article.

Ayat (1)dituangkan dalam laporan yang menggunakan format.

Perumahan rakyat (kemenpera) dalam rangka pelayanan kepada masyarakat berpenghasilan rendah. Perangkat kecamatan, desa/kelurahan/nama lain, atau pendamping sosial bantuan sosial pangan; Siapakah yang menetapkan sk penerima bantuan? Pembuatan gambar kerja dan rencana. Disebut bsps/bedah rumah adalah bantuan pemerintah. Usul penggantian kpm disertai surat keputusan. Memverifikasi proposal dari calon penerima bsps;. Social media share this article. Ayat (1)dituangkan dalam laporan yang menggunakan format. Peraturan menteri pupr no berapa tentang bsps yang terbaru? Rencananya setelah selesai verifikasi lapangan dan keluarnya sk, pihak tfl dan pemerintah desa akan mengundang calon penerima manfaat untuk . Bsps atau bedah rumah adalah bantuan pemerintah bagi masyarakat yang. Mengesahkan format rencana anggaran biaya.

(pu) di kelurahan rejomulyo metro selatan kota metro lampung tahun 2016". Pengelolaan bantuan stimulan perumahan swadaya (bsps) oleh dinas pekerjaan umum. Mengesahkan format rencana anggaran biaya. Berdasarkan surat keputusan direktur jendral penyediaan perumahan . Peraturan menteri pupr no berapa tentang bsps yang terbaru?

Social media share this article. Sk Pdf
Sk Pdf from imgv2-2-f.scribdassets.com
Ayat (1)dituangkan dalam laporan yang menggunakan format. Berdasarkan surat keputusan direktur jendral penyediaan perumahan . Melakukan pembinaan dan pendampingan masyarakat; Bsps atau bedah rumah adalah bantuan pemerintah bagi masyarakat yang. Disebut bsps/bedah rumah adalah bantuan pemerintah. (pu) di kelurahan rejomulyo metro selatan kota metro lampung tahun 2016". Pembuatan gambar kerja dan rencana. Mengesahkan format rencana anggaran biaya.

Penyampaian sk bnba kepada kepala desa yang mendapat program bsps.

Social media share this article. Usul penggantian kpm disertai surat keputusan. Pengelolaan bantuan stimulan perumahan swadaya (bsps) oleh dinas pekerjaan umum. Berdasarkan surat keputusan direktur jendral penyediaan perumahan . Penyampaian sk bnba kepada kepala desa yang mendapat program bsps. Peraturan menteri pupr no berapa tentang bsps yang terbaru? Memverifikasi proposal dari calon penerima bsps;. (pu) di kelurahan rejomulyo metro selatan kota metro lampung tahun 2016". Rencananya setelah selesai verifikasi lapangan dan keluarnya sk, pihak tfl dan pemerintah desa akan mengundang calon penerima manfaat untuk . Bsps atau bedah rumah adalah bantuan pemerintah bagi masyarakat yang. Melakukan pembinaan dan pendampingan masyarakat; Disebut bsps/bedah rumah adalah bantuan pemerintah. Mengesahkan format rencana anggaran biaya.

Perumahan rakyat (kemenpera) dalam rangka pelayanan kepada masyarakat berpenghasilan rendah. Berdasarkan surat keputusan direktur jendral penyediaan perumahan . (pu) di kelurahan rejomulyo metro selatan kota metro lampung tahun 2016". Mengesahkan format rencana anggaran biaya. Pengelolaan bantuan stimulan perumahan swadaya (bsps) oleh dinas pekerjaan umum.

Melakukan pembinaan dan pendampingan masyarakat; Perumahan Pu Go Id
Perumahan Pu Go Id from perumahan.pu.go.id
Disebut bsps/bedah rumah adalah bantuan pemerintah. Melakukan pembinaan dan pendampingan masyarakat; Berdasarkan surat keputusan direktur jendral penyediaan perumahan . Mengesahkan format rencana anggaran biaya. Penyampaian sk bnba kepada kepala desa yang mendapat program bsps. Memverifikasi proposal dari calon penerima bsps;. Ayat (1)dituangkan dalam laporan yang menggunakan format. Pengelolaan bantuan stimulan perumahan swadaya (bsps) oleh dinas pekerjaan umum.

Berdasarkan surat keputusan direktur jendral penyediaan perumahan .

(pu) di kelurahan rejomulyo metro selatan kota metro lampung tahun 2016". Penyampaian sk bnba kepada kepala desa yang mendapat program bsps. Siapakah yang menetapkan sk penerima bantuan? Melakukan pembinaan dan pendampingan masyarakat; Berdasarkan surat keputusan direktur jendral penyediaan perumahan . Rencananya setelah selesai verifikasi lapangan dan keluarnya sk, pihak tfl dan pemerintah desa akan mengundang calon penerima manfaat untuk . Ayat (1)dituangkan dalam laporan yang menggunakan format. Memverifikasi proposal dari calon penerima bsps;. Swadaya (bsps) merupakan salah satu program. Pengelolaan bantuan stimulan perumahan swadaya (bsps) oleh dinas pekerjaan umum. Mengesahkan format rencana anggaran biaya. Bsps atau bedah rumah adalah bantuan pemerintah bagi masyarakat yang. Perangkat kecamatan, desa/kelurahan/nama lain, atau pendamping sosial bantuan sosial pangan;

Contoh Sk Pendampingan Bsps / Format Se Bsps 2018 Pdf / (pu) di kelurahan rejomulyo metro selatan kota metro lampung tahun 2016".. Swadaya (bsps) merupakan salah satu program. Disebut bsps/bedah rumah adalah bantuan pemerintah. Bsps atau bedah rumah adalah bantuan pemerintah bagi masyarakat yang. (pu) di kelurahan rejomulyo metro selatan kota metro lampung tahun 2016". Mengesahkan format rencana anggaran biaya.

Posting Komentar untuk "Contoh Sk Pendampingan Bsps / Format Se Bsps 2018 Pdf / (pu) di kelurahan rejomulyo metro selatan kota metro lampung tahun 2016”."